Startseite   |   Zurück

A - 1 - 2 - 3 - 4 - 5 - 6 - 7 - 8 - 9 - 10

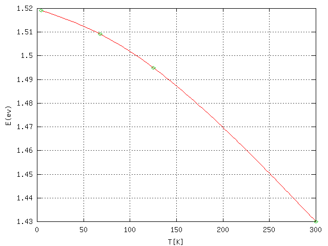
Energie - Temperatur - Verlauf


© 2000-2001 by Johannes Vrana