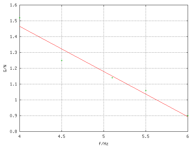
15,7 V - Kraft über Frequenz