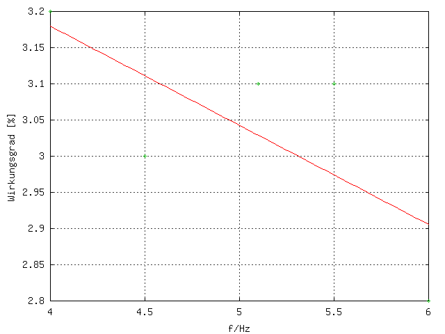
15,7 V - Wirkungsgrad über Frequenz