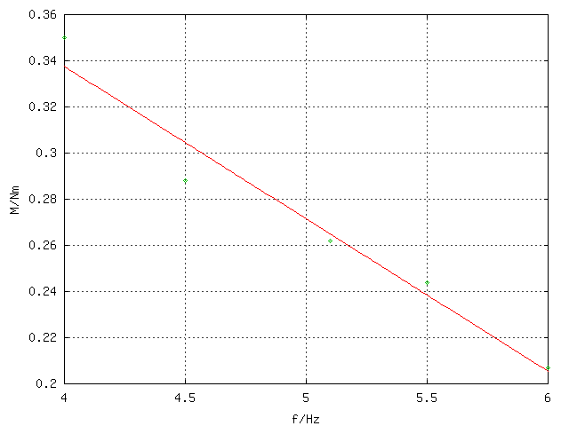
15,7 V - Drehmoment über Frequenz